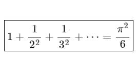
Xem bản tiếng Việt The Basel problem is a famous problem that was posed in 1644 and solved by the genius mathematician Leonard Euler in 1734. The problem requires the sum of the infinite series: $$1 + \frac 1 {2^2} + \frac 1 {3^2} + \frac 1 {4^2} + \...
legos.hashnode.dev4 min read
No responses yet.