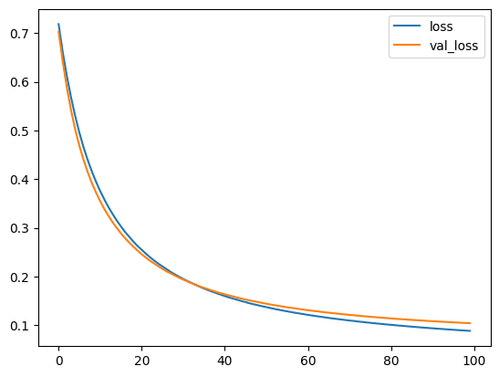
This is a same binary classification problem with sklearn.load_breast_cancer dataset with a deep learning model. /to-train-and-predict Script reference: https://deeplearningcourses.com 1. Load the dataset import tensorflow as tf tf.__version__ #...
eujeenhan.hashnode.dev3 min read
No responses yet.