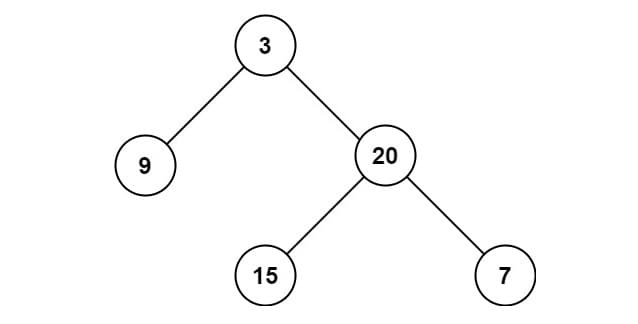
Problem statement Given the root of a binary tree, return its maximum depth. A binary tree's maximum depth is the number of nodes along the longest path from the root node down to the farthest leaf node. Example 1 Input: root = [3,9,20,null,null,15,...
leetsolve.com2 min read
No responses yet.