How to solve Leetcode 160. Intersection of Two Linked Lists
Problem statement
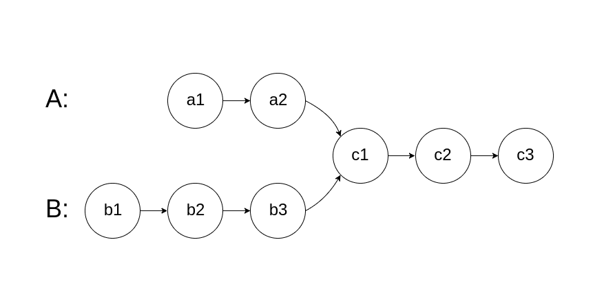
Given the heads of two singly linked-lists headA and headB, return the node at which the two lists intersect. If the two linked lists have no intersection at all, return null.
For example, the following two linked lists begin to int...
leetsolve.com5 min read